|
隐藏式消火栓箱门施工工法
编制单位:中建三局东方装饰设计工程有限公司
主要执笔人:鲁志军、姜财吉、姚林林、刘玄、孙存祥
1. 前言
在建筑室内装饰施工过程中,隐藏式消火栓箱装饰门(以下简称暗门)被广泛运用。根据《中华人民共和国国家标准(消火栓箱)》(GB14561—2003) 规定,消火栓箱门开启角度不得小于160°,开启拉力不得大于50N。
在江苏省南京市江苏大剧院室内装饰施工三标段项目施工过程中,消防栓安装处,土建预留洞口深约300mm,消防栓外口距离石材完成面约250mm;考虑施工位置为剧院公共走道区域,走道宽度必须满足规范要求,无法通过外移墙面完成面达到增加暗门开启空间的目的,采用常规暗门做法受空间限制,无法满足要求规范要求,且其他所有内装参建单位均无此类施工案例。
中建三局东方装饰设计工程有限公司将暗门开启角度问题作为专项研究课题,通过专项研究,采用“二次转换”的办法,在成功解决开启角度、力度等问题的基础上,对工效及工期并未产生负面影响,装饰效果得到了业主和同行的一致认可,并在江苏大剧院内装其他四个标段进行统一推广。与此同时,本次研究成果也成功获得国家专利,在公司后续项目中也将进行相关推广应用。
2. 特点
2.0.1通过对转动方式的改变,使暗门的开启角度完全满足规范中“不小于160°”的要求,甚至能够达到180°;
2.0.2传统工艺中随着开启角度的增大,暗门与消火栓箱体之间的空间要求也随之增大,本工艺中开启角度与建筑空间没有线性关系,降低了对施工条件的要求;
2.0.3本工艺所需材料购置方便,具备现场临时加工条件,无需工厂制作加工,缩短了加工周期,保证了工期要求;
2.0.4本工艺暗门常规材质(50方管)最大可承受220KN,减少了面层材质密度带来了使用推广局限。
2.0.5可用于管道井、配电箱等需设置隐藏式装饰门的部位,增加使用过程中的便利度。
3. 适用范围
本工法适用于室内外消火栓箱、配电箱、管道井等部位的隐藏式装饰门施工。
4. 工艺原理
4.0.1开启角度的控制:本工艺中设置两道转轴,将整个转动过程分解成两个阶段,两个阶段之间,通过强力磁铁进行限位,确保两次转动先后有序进行,避免出现碰撞等影响成品质量的情况发生。
图4.0.1-1门第一阶段开启状态
图4.0.1-2 门第二阶段开启状态
4.0.2承载力的控制:通过一个“L”形连接件将两套转轴进行连接,在上下连接件之间用方管进行连接,使两套转轴形成一个共同的受力体,以此来增加暗门转动系统的承载能力,控制饰面板安装后暗门的沉降使之在可控范围内。
5. 工艺流程及操作要点
5.1 工艺流程
5.2 操作要点
5.2.1施工准备:将暗门基层钢架施工所需的L50*5角钢,强力磁铁、40角码等材料准备就绪,施工机具准备到位,工人通过三级安全教育、技术交底并考核合格,区域施工深化图纸通过审核。
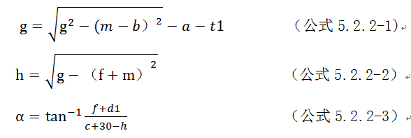
5.2.2测量放线:通过试验推导出来的公式,根据现场实际尺寸进行计算得出现场门轴、连接件、饰面完成面线之间的几何线性关系,并将实际尺寸在施工图纸中明确标出,将之反映到施工区域地面,以便指导施工。
1.位置关系计算公式

2.式中各数据意义如下:
图5.2.2-1关闭状态参数示意图
图5.2.2-2开启第一阶段参数示意图
1).a、b为固定端转轴至完成面的距离,此距离可根据现场实际尺寸直接设置,已知数据;
2).c为活动端转轴中心与完成面之间横向距离,未知数据;
3).m为活动端转轴中心与完成面之间纵向距离,由饰面板厚度d1、钢架基层厚度d2及转轴半径r组成,已知数据;
4).e为固定端转轴与固定端完成面线之间的距离,已知数据;
5).f为第一开启阶段固定端转轴至活动端饰面的垂直距离,f>e,具体至可直接给出,已知数据;
6).g为两转轴之间的距离,未知数据;
7).h为第一开启阶段固定端转轴与活动端完成面之间垂线的延长线,与连接件之间的距离,未知数值;
8).k为第一开启阶段固定端转轴与活动端完成面垂足,至活动端完成面的距离,未知数值,可取k=c+d1-h;
9).t1为门关闭阶段留缝宽度,根据规范,取值小于等于2.5mm。
3.根据现场实际情况计算出相应的参数后,对照弹出的线,进行模拟复核,确保暗门可以按设计要求进行开启。
5.2.3转轴及连接件焊接:
1.依据计算图纸及复线结果得出连接件的尺寸及角度,将50方管加工成要求连接件样式,确保构建焊接质量及尺寸。
2.将两幅直径D=50mm的天地转轴用直径D=50mm的镀锌圆管连接起来,形成一个整体转轴,即为固定端转轴;
3.将固定端转轴按图纸所示位置,与结构进行固定牢固,将连接件固定在转轴上。
5.2.4门扇钢架焊接:根据面层石材排版图中暗门大小及地面防线,确定暗门钢架大小,进行暗门门扇钢架焊接。
5.2.5门扇与转轴焊接:
1.根据地面墨线,在门扇上标记处连接件与门扇焊接位置。
2.另取两副天地轴,将含轴的一端焊接在连接件上,将另一部分焊接在门扇上;等焊好后,将门扇端转轴与连接件转轴连接。
5.2.6防锈处理:在钢架基层上每个焊缝往钢架两端5cm范围内涂刷防锈漆。
5.2.7限位装置安装:在钢架焊接完成后,在转轴外侧和内侧分别安装强磁限位和轴B限位,确保暗门有序开启、关闭。位置见图5.2.7-1。
图5.2.7-1
5.2.8饰面板安装:
1.检查钢架的垂直度及平整度;
2.检查饰面板是否存在爆边少角、色差伤疤、尺寸错误等质量问题;
3.饰面板安装过程中带线调平,并保证饰面板缝与排版图一直。饰面板安装完成后平整度、垂直度达到设计要求。
表5.2.8-1石材允许偏差及检测方法
|
序号
|
项目
|
允许偏差(mm)
|
检查方法
|
|
1
|
立面垂直度
|
2
|
用2m拖线板及尺量检查
|
|
2
|
表面平整度
|
1
|
用2m靠尺及楔形塞尺
|
|
3
|
接缝平直度
|
2
|
拉5m小线,不足5m拉通线
|
6. 材料与设备
6.1 材料
隐藏式消火栓石材暗门主要由转轴、转轴连接件、限位装置、门扇基层及面层等部分组成,具体组成形式见下图6.1-1:
主要面层材料为雅士白大理石,基层材料为50角钢、50方管。主要如下表:
表6.1-1主要使用材料
|
序号
|
对应构件
|
常用材料
|
主要功能
|
|
1
|
固定端转轴(转轴A)
|
50铸铁天地转轴
|
转动及最终受力构件
|
|
2
|
活动端转轴(转轴B)
|
50铸铁天地转轴
|
转动构件及力传导构件
|
|
3
|
转轴连接件
|
50*50*5镀锌方管
|
传导构件
|
|
4
|
石材干挂基层竖龙骨
|
80*43*9镀锌槽钢
|
石材干挂
|
|
5
|
面层石材
|
石材
|
饰面
|
|
6
|
连接件限位1
|
50*50*5镀锌角钢、40*40*5强力磁铁
|
确保开启时转轴A不动,转轴B先动。避免石材碰撞
|
|
7
|
连接件限位2
|
成品门吸
|
限制连接件转动,避免破坏固定端石材
|
|
8
|
门吸
|
成品门吸
|
确保暗门关闭紧密
|
|
9
|
门扇限位
|
40*40*5强力磁铁
|
确保关闭时转轴B不动,转轴A先动。避免石材碰撞
|
|
10
|
门扇钢架
|
50*50*5角钢
|
门扇骨架
|
|
11
|
结构墙体
|
/
|
/
|
|
12
|
消防箱体
|
/
|
/
|
|
13
|
消防水管
|
/
|
/
|
6.2 设备组织
各种仪器设备经检定合格并在检定有效期内,需要数量及设备按现场实际情况而定,具体见下表:
表6.2-1主要检测器具配置
|
序号
|
名称
|
产地
|
型号
|
数量
|
|
1
|
卷尺
|
国产
|
5m
|
2
|
|
2
|
线垂
|
国产
|
2m
|
1
|
|
3
|
红外线水平仪
|
国产
|
/
|
1
|
7. 质量控制
7.1 主控项目
7.1.1饰面板的品种、规格、颜色和性能应符合设计要求。
检验方法:观察;检查产品合格证书、进场验收记录和性能检测报告。
7.1.2饰面板孔、槽的数量、位置和尺寸应符合设计要求。
检验方法:检查进场验收记录和施工记录。
7.1.3饰面板安装工程的预埋件(或后置埋件)、连接件的数量、规格、位置、连接方法和防腐处理必须符合设计要求。后置埋件的现场拉拔强度必须符合设计要求。饰面板安装必须牢固。
检验方法:手扳检查;检查进场验收记录、现场拉拔检测报告、隐蔽工程验收记录和施工记录。
7.2 一般项目
7.2.1饰面板表面应平整、洁净、色泽一致,无裂痕和缺损。石材表面应无泛碱等污染。
检验方法:观察。
7.2.2 饰面板嵌缝应密实、平直,宽度和深度应符合设计要求,嵌填材料色泽应一致。
检验方法:观察;尺量检查。
7.2.3采用湿作业法施工的饰面板工程,石材应进行防碱背涂处理。饰面板与基体之间的灌注材料应饱满、密实。
检验方法:用小锤轻击检查;检查施工记录。
7.2.4饰面板上的孔洞应套割吻合,边缘应整齐。
检验方法:观察。
7.2.5饰面板安装的允许偏差见表7.2.5-1的规定。
表7.2.5-1 饰面板安装的允许偏差和检验方法
|
项
次
|
项目
|
允许偏差(mm)
|
检验方法
|
|
石 材
|
瓷板
|
木材
|
塑料
|
金属
|
|
光面
|
剁斧石
|
蘑菇石
|
|
1
|
立面垂直度
|
2
|
3
|
3
|
2
|
1.5
|
2
|
2
|
用2m垂直检测尺检查
|
|
2
|
表面平整度
|
2
|
3
|
—
|
1.5
|
1
|
3
|
3
|
用2m靠尺和塞尺检查
|
|
3
|
阴阳角方正
|
2
|
4
|
4
|
2
|
1.5
|
3
|
3
|
用直角检测尺检查
|
|
4
|
接缝直线度
|
2
|
4
|
4
|
2
|
1
|
1
|
1
|
拉5m线,不足5m拉通线,用钢直尺检查
|
|
5
|
墙裙、勒脚
上口直线度
|
2
|
3
|
3
|
2
|
2
|
2
|
2
|
拉5m线,不足5m拉通线,用钢直尺检查
|
|
6
|
接缝高低差
|
0.5
|
3
|
—
|
0.5
|
0.5
|
1
|
1
|
用钢直尺和塞尺检查
|
|
7
|
接缝宽度
|
1
|
2
|
2
|
1
|
1
|
1
|
1
|
用钢直尺检查
|
7.3 关键工序质量控制措施
7.3.1在施工前,必须先根据计算公式,找好各部件之间的几何关系,在图纸上进行模拟无误后,在施工部位进行放线。
7.3.2在进行转轴焊接时,必须事先对转轴进行润滑,同时,用镀锌圆管将上、下天地转轴进行连接,使之成为一个整体,确保转轴中心在一条线上,转动顺滑;
7.3.3在进行墙面石材干挂时,必须确保暗门两侧石材完成面根据暗门完成面来确定,避免由于暗门石材完成面发生变化而无法达到开启角度;
7.3.4所有尺寸偏差在暗门计算中需进行考虑,且在模拟中进行更正、消除;
7.4 质量保证措施
7.4.1 本工程按 ISO9001 体系进行管理,建立质量管理体系,严格遵照执行,保证工程质量达到业主要求。
7.4.2 强化质量管理,严把工序质量关,设置质量控制环节和控制点,对整个施工过程进行控制,加强质量监督检查。
7.4.3 实行样板先行,样板材料通过装饰部、质量部和监理的联合验收后,方可大面积展开施工。
7.4.4 使用材料必须符合深化设计和规范要求,严禁使用不合格材料。
7.4.5 操作工人必须经过培训并考核合格后方可上岗操作。
7.4.6 施工期间必须做好工序交接验收。
7.4.7 施工期间必须做好三检制,确保不合格的半成品进入下到工序。
8. 安全措施
8.0.1 所有进入施工现场的人员必须佩戴安全帽、防滑鞋,高空作业时必须佩戴好安全带。
8.0.2 测量放线阶段:作业前工人必须经过培训、安全交底。佩带好安全帽和安全带。随身带好测量工具。
8.0.3 测量放线时如遇临边防护栏杆时,不得私自将其拆除或改动,需报项目安全部批准后才可拆改,弹完线后立即恢复防护,施工过程中,悬挂醒目标志提示其他施工人员。
8.0.4 临边放线时,必须将安全带可靠地挂在防护栏杆上。无栏杆可挂时,需用一道粗麻绳或钢丝绳紧固在两端钢结构主体上,然后再将安全带扣挂其上。
8.0.5 施工洞口处必须满挂水平安全网,施工前检查安全网边绳的绑扎情况,确认无松脱,有松脱的必需经专人处理妥当后方可施工。
8.0.6 施工人员不得私自拆除脚手架与主体结构间的拉接点、不得私自拆除脚手架上钢管、扣件等。若架体有局部影响施工的情况,应及时向项目部反映,通过总包方、监理方的批准后,项目部安排人员对其进行拆改。
8.0.7 各种材料应存放在专用库房内,不得与其他材料混放。严禁在库内吸烟和使用任何明火。
8.0.8 高度 2m 以上作业时,必须按规定搭设施工操作架, 四脚落地,摆放平稳,操作台面必须满铺跳板,设置护身杆。每日施工前必须检查操作架是否安全可靠。严禁上下交叉作业,操作台面严禁堆放材料,使用的工具必须摆放平稳,操作架移动时要清理干净架子上的材料、工具及人员,防止坠落伤人。上架施工人员必须严格按安全操作规范施工。
8.0.9 施工现场洞口和临边必须按照施工现场安全规范和天津市有关规定做好防护,并做好标示工作。
8.0.10 施工现场临电必须按照现场临电规范要求作后施工用电和临时照明,并好标示。
8.0.11 脚手架上操作时,合理安排垂直作业,应尽量避免再同一垂直线上工作,必须同时作业时,上层必须做好硬防护后方可进行。
8.0.12 严禁止穿硬底鞋、拖鞋、高跟鞋在架子上工作,架子上人数不得集中在一起,工具要搁置稳定,以防止坠落伤人。
8.0.13 进行钢结构焊接时,操作工人必须带好安全帽、安全带、护目镜。
9. 环保措施
9.0.1 施工作业人员进入现场先进行环保培训,提高人员环保意识。
9.0.2 作业现场测量放线标识用的红油漆、墨汁在作业过程中要妥善保管,避免遗洒在现场。
9.0.3 加强现场管理,垃圾都必须堆放到指定地点。
10. 效益分析
10.1 质量效益
表 10.1-1 与传统天地转轴暗门的质量效益对比
|
|
隐藏式消防栓石材暗门
|
普通天地轴暗门
|
|
强度
|
满足使用要求
|
满足使用要求
|
|
防腐蚀性能
|
满足使用要求
|
满足使用要求
|
|
开启角度
|
满足规范要求,对现场条件要求低
|
通常无法满足规范要求
|
|
检修
|
门扇可无损拆卸,维修破坏小,面层基本可以重复利用
|
维修时必须进行破坏性拆除
|
10.2 工期效益
表 10.2-1 与传统天地转轴暗门的工期效益对比
|
|
隐藏式消防栓石材暗门
|
普通天地轴暗门
|
|
加工
|
具备现场加工条件
|
具备现场加工条件
|
|
安装
|
具备现场二次安装条件
|
无法二次安装
|
10.3 社会效益
隐藏式消防栓石材暗门的研制、施工与使用,不仅满足国家规范对消防栓暗门的技术指标要求,同时又有效扩大了暗门的开启角度,增加了消火栓在近期情况下的利用效率。
11. 应用实例
实例1:江苏大剧院室内装饰施工三标段(江苏大剧院音乐厅),建筑物为框剪结构,室内装饰面积约9600平方米,前厅室内外侧墙面为雅士白石材墙面,面积约3800平方米,并有大量消火栓箱暗门。面对《中华人民共和国国家标准(消火栓箱)》(GB14561—2003) 规定,江苏大剧院共五个标段五家内装单位均无相关成熟解决方案,严重制约工期及大剧院建设质量。在应用本工法之后,成功解决了暗门开启角度及力度的问题,更重要的是,避免了江苏大剧院整体工期的延误,作为江苏省重点建设工程,良好的开启效果,得到了业主的一致赞扬。 共1页 [1] 当前第1/1页
|